In practice, the acquisition, construction, letting, leasing and sale of real estate raises a variety of questions from a VAT perspective. The interplay of national VAT law and the Directive on the VAT system as well as of national jurisdiction and ECJ jurisdiction make the VAT law an increasingly complex subject.
Purchase and sales of real estate
Real estate businesses can entail numerous VAT pitfalls, that must be considered on both the seller´s and the purchaser´s part. An examination of the VAT issues should be done imperatively in the context of planning and organising of the specific sale. The reason for this is, in the context of the sale of real estate, the VAT implications for both the customer and the seller can have significant economic impacts (e.g. input tax deduction; adjustment in accordance with sec. 15a German VAT Act; consequences of an [unrecognized] transfer of a going concern [so-called footprint theory]).
From the customer’s point of view, the decisive factors are the VAT implications of the intended use for him. Of high practical relevance is the use of the real estate as a rental property (see “The option for immovable property rental and leasing”). Only if the customer is entitled to deduct input VAT, an acquisition that is subject to VAT would be tax-neutral for him. In the case of cost-intensive real estate transactions, the input VAT deduction is of significant economic importance.
From the seller's point of view, the sale transaction can also have extensive consequences, whereby in particular the input VAT deducted in the past is relevant. If the input VAT in the context of the acquisition and production costs of a building has been deducted due to the commercial use of this building, a change in the relevant circumstances may occur in the event of a sale. The sale of the real estate then possibly leads to a correction of the input VAT deduction according to sec. 15a German VAT Act.
Due to these far-reaching consequences, real estate transactions should be planned with great care by all parties involved. In view of the partially conflicting interests and the existing VAT risks for both parties, regulations must be found that satisfy both the customer and the seller. An eye must be kept on all the arrangement options and balance them against each other.
In the context of preparing the sale of real estate, the following considerations should be made:
1. Is there a transfer of a going concern that is not subject to VAT (sec. 1 para. 1a German VAT Act) or a supply of immovable property that is subject to VAT (sec. 1 para. 1 no. 1 German VAT Act)?
The distinction between the transfer of a going concern and the supply of immovable property can lead to extensive consequences for both parties (particularly the application of the „footprint theory”).
Can the VAT risks, that come with the incorrect assessment of this question, be covered by a contractual organization (so-called preventive option)?
2. Is there a supply of immovable property that is subject to VAT but is it exempt from VAT, an option to VAT must be examined:
Which influence has the exempt from VAT on the contractual organization approaches?
What formal requests must be observed for the option according sec. 9 para. 3 German VAT Act (“only in the notarized contract according sec. 311b para. 1 German Civil Code”)?
No retroactive option for taxation possible (settled case law German Federal Fiscal Court, judgement dated 21 October 2015 – XI R 40/13, BStBl. II 2017, 852; sec. 9.2 para. 9 sentence 1German Administrative VAT Guidelines)
Revocation of the option to tax is possible according to German Federal Fiscal Court
Other view: German tax authorities (sec. 9.2 para. 9 sentence 3 German Administrative VAT Guidelines)
Is it possible to opt (partial) for taxation and what are the consequences of the (partial) option for the VAT liability of the parties involved?
Reverse charge mechanism?
Input VAT deduction of the customer?
What are the consequences of the VAT exempt supply of the immovable property / building for the seller?
Correction of the input VAT deduction (sec. 15a German VAT Act)

Rental and lease
The specific use of the immovable property has a significant impact on the economic VAT burden. The transfer of use of the property in the form of renting or leasing plays a particularly important role.
The use of the immovable property as a rental property is generally subject to VAT but is regularly exempt from VAT under sec. 4 no. 12 lit. a German VAT Act. Considering the VAT-related structuring questions, the subsequent question arises whether the option to taxation should be declared (see “The option for immovable property rental and leasing”). When purchasing real estate with the intention of renting it out, the VAT pitfalls of the option regarding the rent can have a concrete impact on the purchase transaction.
In addition, attention should be paid to special cases such as services between the joint-ownership and the owner or the treatment of community of part owners.
Input VAT deduction and adjustment of the initial input VAT deduction, sec. 15a German VAT Act
The possibility of input VAT deduction is of high particular interest in real estate transactions. For the recipient, who is acting as a taxable person, the input VAT deduction ensures that there is no definitive liability for VAT, if and to the extent that he is entitled to deduct input VAT.
The issues surrounding the deduction of input VAT in immovable property matters are manifold, e.g.:
e.g. input VAT deduction on the basis of the use made of the goods and services
Exclusion of the deduction of input VAT (deductibility) according to sec. 15 para. 1b German VAT Act or exclusion according to sec. 15 para. 2 sentence 1 no. 1 German VAT Act
Determination of the deductible input VAT – distinction between maintenance expenses and (subsequent) acquisition and production costs
the deductible proportion according to sec. 15 para. 4 German VAT Act
Input tax adjustment according to sec. 15a German VAT Act
The option for immovable property rental and leasing
In the case of cost-intensive real estate investments, the input VAT deduction is of considerable economic importance. Therefore, the landlord often has a great interest in renting out the property in a way that is liable to VAT.
If the VAT exemption under sec. 4 no. 12 sentence 1 lit. a German VAT Act applies to the rental and leasing transactions, the entrepreneur can waive the VAT exemption under the following conditions of sec. 9 para. 1 and para. 2 German VAT Act to benefit from the input VAT deduction.
Examination sequence of the option according to sec. 9 para. 1 and para. 2 German VAT Act:
Is the rental transaction VAT exempt under sec. 4 no. 12 of the German VAT Act?
Is the rental provided to a taxable person for his business (sec 9 para. 1 German VAT Act)?
(Intended) use of the rental property by the tenant exclusively for transactions that do not preclude the deduction of input VAT (sec 9 para. 2 German VAT Act)?
> If not, the following questions must be answered for a (partial) option:
3.1. Is it an “old” building according to sec. 27 para. 2 German VAT Act?
3.2. Is a partial option possible (sec. 9.2 para. 1 German Administrative VAT Guidelines)?
3.3. The immovable rental property is not used for more than 5% for excluded supplies by the tenant (so-called de minimis limit, sec. 9.2 para. 3 German Administrative VAT Guidelines)?How must the option be exercised?

1. Is the rental exempt to VAT under sec. 4 no. 12 of the German VAT Act?
The transfer of use of immovable property by way of rental or lease is – including the supply of ancillary services to be taken into account for VAT purposes – covered by the VAT exemption of sec 4 no. 12 sentence 1 lit. a of the German VAT Act.
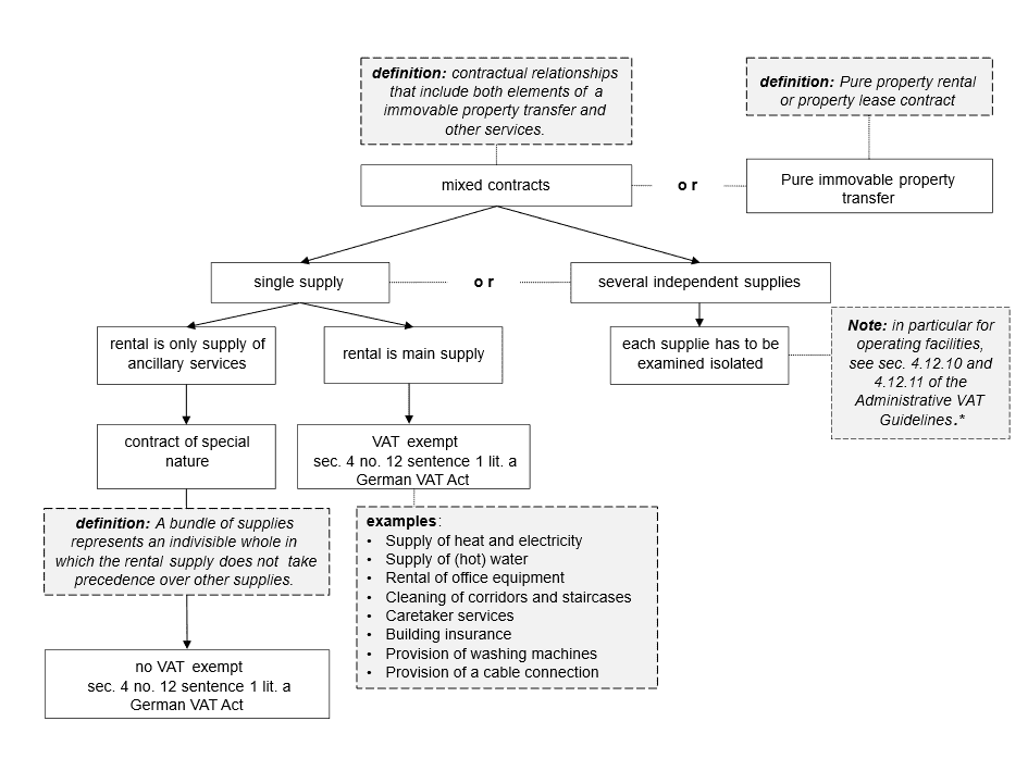
Whether a rental or lease exists within the meaning of the standard is governed by EU law and not by national civil law. If a contract includes further services in addition to the mere transfer of use, a distinction must be made between so-called mixed contracts and contracts of a special nature.
Accordingly, the rental as a uniform service may include certain non-independent supplies of ancillary services (so-called mixed contract). This is the case, for example, if the co-leasing of furnishings (see sec. 4.12.1 para. 3 sentence 4 of the German Administrative VAT Guidelines) or the provision of other services (see sec. 4.12.5 para. 5 sentence 1 German Administrative VAT Guidelines) are of minor importance and take a lower priority to the interest in using the property. This is the case, for example, with the supply of heat, water, stair and hallway cleaning, lighting of common areas, and other items regularly included in the ancillary rental costs – except for the supply of gas or heating oil.
However, a (mere) rental in the sense of VAT law can no longer be assumed if, in addition to the original rental service, additional services are provided that are so distinctive that the overall service, which is to be assessed as a whole, can no longer be regarded as a rental service (so-called contracts of a special nature; see sec. 4.12.6 para. 2 of the German Administrative VAT Guidelines). For the majority of services, three different classifications are conceivable, each with different tax consequences:

The tax exemption does not apply to the services expressly excluded in 4 no. 12 sentence 2 of the German VAT Act. These are:
the rental of living rooms and bedrooms that a taxable person provides for the short-term accommodation of strangers (hotel accommodation, boarding house);
renting of spaces for parking land vehicles, water- and aircrafts;
short-term renting of camping sites;
renting and leasing of machines and other devices of all kinds that belong to a plant (operating equipment), even if they are essential components of the immovable property.
What applies to the rental of residential property including a parking space?
The German Federal Fiscal Court recently confirmed that the leasing of parking spaces to residential tenants is VAT exempt as an ancillary service to the leasing of residential property. Federal Fiscal Court: letting of car parking spaces to residential tenants is a VAT exempt supply of ancillary services | KMLZ Rechtsanwaltsgesellschaft mbH
What applies to leases and leases with operating facilities
In the opinion of the tax authorities, the provision of operating facilities is taxable as a separate supply (sec. 4.12.1 para. 3 sentence 4 and sec. 4.12.10 of the German Administrative VAT Guidelines). In the opinion of the tax authorities, the term “machinery and equipment” in sec. 4 no. 12 sentence 2 of the German VAT Act should be interpreted in the same way as for the right of assessment (sec. 4.12.10 sentence 2 of the German Administrative VAT Guidelines). Accordingly, in addition to machinery and equipment similar to machinery, operating facilities include all facilities through which the business is directly operated (sec. 4.12.10 sentence 6 of the German Administrative VAT Guidelines). In the opinion of the tax authorities, the provision of operating facilities is also subject to VAT if the operating facility is provided at the same time as the provision of land or buildings in a single contract. Therefore, even a uniform service must be divided into a VAT-exempt rental or leasing service and the taxable provision of operating facilities (so-called distribution requirement, sec. 3.10 para. 5 p. 1 German Administrative VAT Guidelines). This is the background to the fine line drawn between parts of the property and operating facilities in sec. 4.12.11 para. 2 of the German Administrative VAT Guidelines.
However, this general understanding contradicts the principle of the unity of the supply in VAT law. If a taxable person supplies several services to a recipient, it is necessary to assess, based on the nature of the supply, from the perspective of the average consumer, whether the taxable person is providing several main services or a single service (sec. 3.10 para. 1 p. 2 and p. 3 of German Administrative VAT Guidelines). A single supply exists if two or more closely related actions are undertaken in such a way that they objectively form a single inseparable economic supply and splitting them would be unrealistic (ECJ, judgment dated 19 July 2012 – C-44/11, Deutsche Bank AG, BStBl. II 2012, 945, para. 21; Federal Fiscal Court, judgment dated 10 January 2013 – V R 31/10, BStBl. II 2013, 352, para. 21; BFH, judgment dated 10 December 2020 – V R 39/18, para. 18).
According to a decision of the ECJ, which was prompted by a submission from the German Federal Fiscal Court, the requirement of apportionment, as understood by the tax authorities, regarding the rental of real estate including operating facilities, is being reviewed. In the underlying case, the Federal Fiscal Court (Federal Fiscal Court, judgement dated 17 August 2023 – V R 7/23 [V R 22/20], DStR 2023, 2005) regards the provision of the permanently installed operating equipment as a supply of ancillary service to the VAT-exempt lease. The Federal Fiscal Court has raised the question of whether the assessment as a single supply takes precedence over the VAT liability under sec. 4 no. 12 sentence 2 of the German VAT. If the principle of the single supply is given precedence, the letting of the immovable property is VAT-exempt overall because this main supply forms the main focus of the supply.
In the opinion of the ECJ (ECJ, judgment dated 4 May 2023 - C-516/21, Finanzamt X, UR 2023,441) and, following this, the German Federal Fiscal Court (German Federal Fiscal Court, decision dated 17 August 2023 – V R 7/23 [V R 22/20], DStR 2023, 2005) is for VAT purposes in the case of a transaction that comprises various individual services, a decision must be made by taking an overall view of whether separate supplies are provided or whether a single supply exists. The latter is the case if several individual services or actions of the taxpayer for the tenant are so closely linked that they objectively form a single inseparable economic service, the splitting of which would be unrealistic. This applies to the provision of a main and ancillary supply. A supply of ancillary service is typically characterized by the fact that it does not represent a purpose for the recipient of the supply but rather serves to enable the main supply to be used under optimal conditions. The supply of ancillary service shares the VAT treatment of the main service. If a transaction is deemed to be a single supply from an economic point of view, it must not be artificially split to preserve a functioning VAT system – not even by statutory measures of the Member States. Art. 135 para. 2 of the VAT Directive does not preclude this either.
These clear statements regarding the precedence of the single supply over a statutory requirement to split it up challenge the mandatory requirement to split up the supply, which is the established administrative practice. The assumption of a single VAT-exempt supply would mean that the previously possible deduction of input VAT regarding the taxable provision of the operating facilities would no longer apply. In this respect, a waiver of the VAT exemption – for the entire leasing service – would be necessary, in accordance with sec. 9 para. 1 German VAT Act, whereby the restrictions of sec. 9 para. 2 German VAT Act must be considered. However, the risk of an undetected taxable lease of operating facilities and the resulting risk of a VAT back claim by the tax office would no longer apply.
2. Is the rental to an entrepreneur for his business (sec. 9 para. 1 German VAT Act)?
The rental must be to a taxable person for their business. This should be explicitly stated in the rental contract (see sample clause).
3. (Intended) use of the rental property by the tenant exclusively for transactions that do not preclude the deduction of input VAT (sec. 9 para. 2 German VAT Act)?
When renting or leasing immovable property, an effective waiver of the VAT exemption under sec. 4 no. 12 sentence 1 lit. German VAT Act is generally (see exceptions 3.1 to 3.3) only possible if the requirements of sec. 9 para. 2 German VAT Act are also met in addition to the requirements mentioned before.
Accordingly, an option is permissible if, in the realized circumstances, the tenant uses or intends to use the leased immovable property only for transactions that do not preclude the deduction of input VAT.
An option is not possible if the recipient of the service carries out VAT-exempt transactions that exclude the deduction of input VAT in accordance with sec. 15 para. 2 sentence 1 no. 1 German VAT Act. According to this, there is reason to fear that the tenant will carry out transactions that are mandatory VAT-exempt in accordance with sec. 4 German VAT Act. In practice, these “option-damaging” tenants include, in particular, banks (sec. 4 no. 8 German VAT Act), insurance companies (sec. 4 no. 10 German VAT Act), doctors and other health professionals (sec. 4 no. 14 German VAT Act), social insurance institutions (sec. 4 no. 15 German VAT Act), hospitals, old people's and nursing homes (sec. 4 no. 16 German VAT Act) or private schools (sec. 4 no. 21 German VAT Act).
Why is caution required in the case of so-called chain leases?
It should be noted that in the case of “chain rentals” (sub-letting cases) that regularly occur in business transactions, it must be checked at each individual level whether the option conditions are met. In the context of sec. 9 para. 2 of the German VAT Act, it must be checked whether VAT-exempt immovable property transactions are involved at the individual levels, which would exclude an option. If this is the case, the option is excluded for all preceding businesses in the chain.
Example: A landlord (L) rents out a company building with a granny annexe to a taxable person(E). E uses the building for business purposes for transactions that are not subject to input VAT. He rents out the granny flat to his employee for residential purposes.
Solution: The lease from V to U and the sublease of the granny annexe from U to H are VAT-exempt under sec. 4 no. 12 lit. a sentence 1 of the German VAT Act. Regarding the commercially used premises, V can waive the tax exemption because U, as the recipient of the supply in these premises, only carries out transactions that do not preclude the deduction of input VAT. About the rental of the granny annexe, V cannot opt for VAT, as the tenant U is renting the apartment to the employee for private use, in accordance with sec. 9 para. 1 German VAT Act.
According to sec. 9 para. 2 sentence 2 German VAT Act, the landlord must prove that the conditions are met and that the property is used exclusively for deductible transactions. In practice, this is usually done by means of a tenant confirmation or a corresponding clause in the lease, which is sufficient for the tax authorities (sec. 9.2 para. 4 sentence 3 of the German Administrative VAT Guidelines). Since the landlord cannot influence how the tenant uses the property, the resulting VAT risk should be countered with a contractual compensation clause under civil law (see sample clause).
3.1. Is it an “old” building according to sec. 27 para. 2 German VAT Act?
The prerequisites for exercising the option in accordance with sec. 9 para. 2 German VAT Act do not apply in accordance with sec. 27 para. 2 German VAT Act if the building in question is an “old” building in accordance with sec. 27 para. 2 German VAT Act. Depending on the intended use, sec. 27 para. 2 German VAT Act uses specific dates for the start of construction and completion of the building. It should be noted that a building can lose the immovable property of an old building due to construction work. This applies to construction work that leads to the creation of a new asset. Extensive changes must be made. The tax authorities refer to income tax principles, sec. 9.2 para. 6 German Administrative VAT Guidelines; R 7.3 EStR; H 7.3 EStH.
3.2 Is a partial option possible?
When waiving the VAT exemption under sec. 4 no. 12 sentence 1 lit. a of the German VAT Act, a so-called partial option is possible. According to the tax authorities and the German Federal Fiscal Court, this should be limited exclusively to a structurally definable part of the property from a spatial point of view or to proportional use over time, so that a proportional option or one limited to partial areas of rooms is not possible (sec. 9.1 para. 6 sentence 3, sec. 9.2 para. 1 sentence 2 of the German Administrative VAT Guidelines). With regard to the part for which the option is to be exercised, the conditions of sec. 9 para. 1 and 2 of the German VAT Act must then be met.
3.3 The rental property is not used for more than 5% in transactions that exclude the deduction of input VAT (so-called de minimis limit)?
If there are excluded transactions, the tax authorities recognize – contrary to the insofar unrestricted wording of sec. 9 para. 2 German VAT Act – the use of the property in the taxation period for excluded transactions of < 5 % in order to avoid undue hardship (so-called de minimis limit; sec. 9.2 para. 3 example 1 German Administrative VAT Guidelines). In this case, a building-related or building-part-related view is decisive.
Example: V rents a building to a plastic surgeon. In addition to taxable plastic surgery operations, the plastic surgeon also provides VAT-exempt medical treatment services in accordance with sec. 4 No. 14 lit. a German VAT Act. Based on the ratio of VAT liable and VAT exempt sales, the plastic surgeon's input VAT exclusion is only 3%.
Solution: The lease of V to the plastic surgeon is generally VAT-exempt under sec. 4 no. 12 sentence 1 lit. a German VAT Act. However, V can waive the VAT exemption because the plastic surgeon uses the building for only 3% of the transactions that exclude the input VAT deduction.
4. How must the option be exercised?
The option can be exercised without any formal requirements in the case of rental revenues (sec. 9.1 para. 3 sentence 5 of the German Administrative VAT Guidelines). A corresponding contractual provision in which the VAT is openly stated is sufficient. If such a contract contains all the further information of sec. 14 para. 4 German VAT Act, it also represents an invoice for the recipient of the service that entitles him to deduct input VAT (sec. 14.1 para. 2 German Administrative VAT Guidelines). The formal requirements of sec. 9 para. 3 German VAT Act are not to be considered.
Sample clause
Sec. [x] VAT option
The subject of the rental agreement between the parties, who are taxable persons in accordance with sec. 2 of the German VAT Act, is the commercial space described above.
(1) The parties agree that the landlord waives the VAT exemption in accordance with sec. 4 no. 12 lit. a of the German VAT Act (so-called VAT option). The tenant is aware that such a VAT option is only permissible under the conditions of sec. 9 para. 1 and 2 German VAT Act. The withdrawal of the waiver may only be declared with the written consent of the tenant.
(2) The agreed net rent is XXXX € plus VAT at the statutory rate. The parties agree that the net rent shall be increased by an amount corresponding to the VAT on the items covered by the net rent in each case if the tenant breaches his obligation under no. 1. The rent increase shall take effect for the current billing period in which the first breach of duty occurs. No separate declaration of the rent increase is required.
(3) In view of this, the tenant undertakes:
to use the rented or leased property only for transactions that do not exclude the tenant's input VAT deduction,
to prove to the landlord annually that he is using the rented property only for transactions that do not exclude the input VAT deduction. For this purpose, a certificate from a tax advisor is sufficient,
to inform the landlord immediately of any circumstances that may affect the validity of the landlord's VAT option. This applies to findings of the tax authorities that are made during tax audits carried out at the tenant's or subtenant's premises,
and to provide the landlord, upon request and without undue delay, with all documents necessary to fulfill the landlord's obligation to provide evidence to the tax authorities that the VAT option is permissible in accordance with sec. 9 para. 2 sentence 2 of the German VAT Act.
(4) The landlord is entitled to extraordinary termination of the lease if the tenant breaches his obligation under no. 1.
(5) The tenant is only permitted to sublet the rented property in whole or in part if the tenant, for his part, declares a VAT option to the subtenant and imposes all the obligations of sec. [x] of this contract on the subtenant. The sublease agreement shall be drafted in favor of the Lessor in such a way that the Lessor, in view of its own VAT option, is entitled to direct claims against the sublessee. The Lessee shall be fully liable to the Lessor for the sublessee's compliance with these requirements.
(6) If the tenant violates his obligations under sec. [x] of this contract, he is obliged to compensate the landlord for all damages incurred as a result, particularly those arising from a correction to the landlord's input VAT deduction. This applies accordingly in the event of subletting if the subtenant violates his obligations.
(7) The landlord's claims for damages shall not become time-barred before the expiry of six months after the tax assessment notice with which the landlord's competent tax authority determines the inadmissibility of the VAT option due to the VAT-damaging behaviour of the tenant or subtenant.
Contact